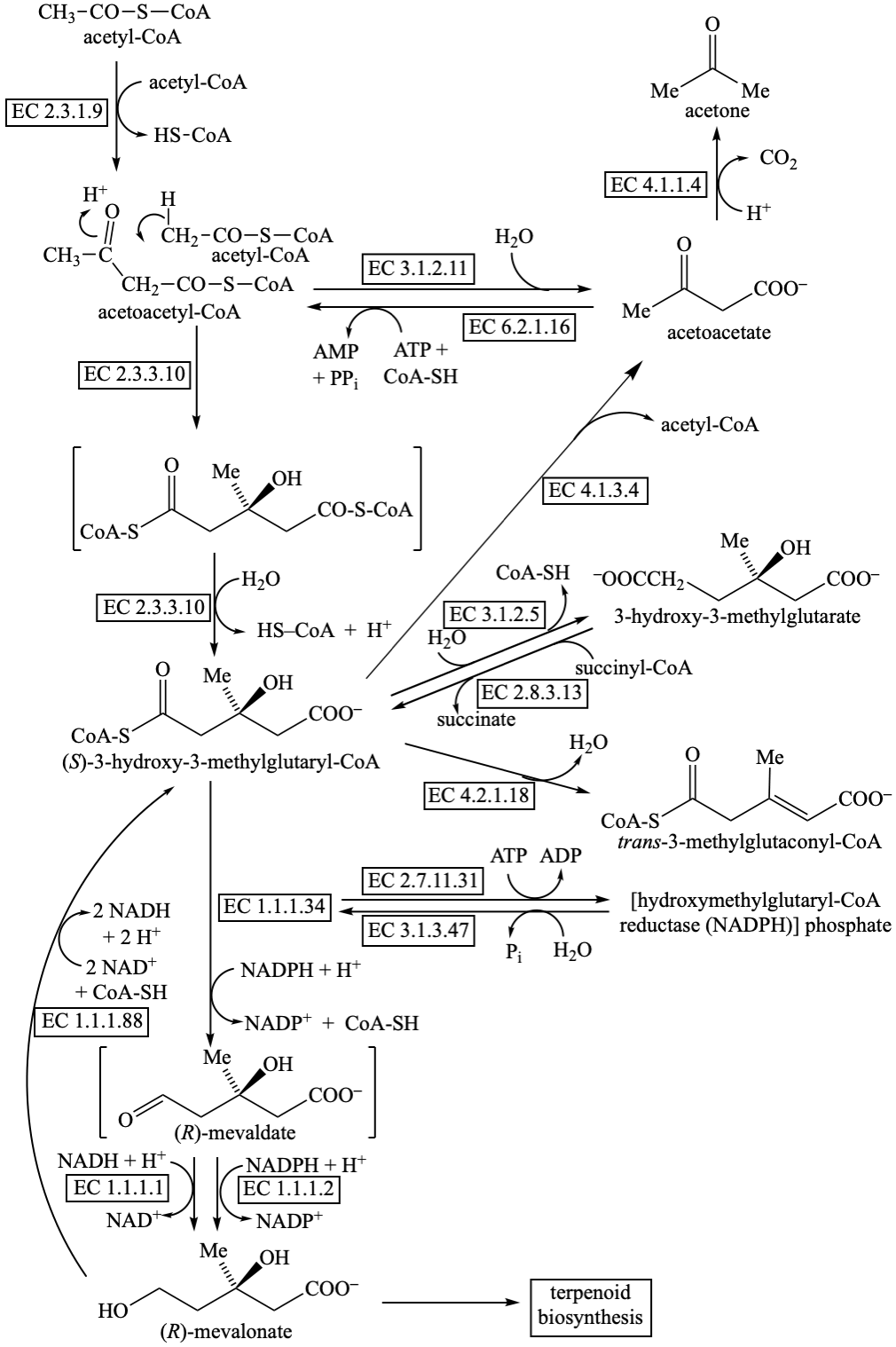
Mevalonate Biosynthesis

When cursor points to a box further details will be displayed in a tooltip window. If you click on the box it will change to the appropriate reaction scheme or enzyme specification.

© IUBMB 2002


Return to enzymes homepage.
mevalonate to terpenoid biosynthesis
EC 1.1.1.1 alcohol dehydrogenase
EC 1.1.1.2 alcohol dehydrogenase (NADP+)
EC 1.1.1.88 hydroxymethylglutaryl-CoA reductase
EC 2.3.1.9 acetyl-CoA C-acetyltransferase
EC 2.3.3.10 hydroxymethylglutaryl-CoA synthase
EC 2.7.11.31 [hydroxymethylglutaryl-CoA reductase (NADPH)] kinase
EC 2.8.3.13 succinate—hydroxymethylglutarate CoA-transferase
EC 3.1.2.5 hydroxymethylglutaryl-CoA hydrolase
EC 3.1.2.11 acetoacetyl-CoA hydrolase
EC 3.1.3.47 [hydroxymethylglutaryl-CoA reductase (NADPH)]-phosphatase
EC 4.1.1.4 acetoacetate decarboxylase
EC 4.1.3.4 hydroxymethylglutaryl-CoA lyase
EC 4.2.1.18 methylglutaconyl-CoA hydratase
EC 6.2.1.16 acetoacetate—CoA ligase