Retinal and Derivatives Biosynthesis

When cursor points to a box further details will be displayed in a tooltip window. If you click on the box it will change to the appropriate reaction scheme or enzyme specification.

© IUBMB 2011

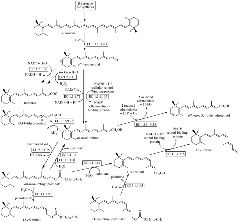
These enzymes act on a range of carotenoids with a β-end group at one end but only giving one molecule of retinal.


Return to:
enzyme nomenclature homepage
β-carotene biosynthesis
EC 1.1.1.71 alcohol dehydrogenase [NAD(P)+]
EC 1.1.1.105 all-trans-retinol dehydrogenase (NAD+)
EC 1.1.1.315 11-cis-retinol dehydrogenase
EC 1.2.1.36 retinal dehydrogenase
EC 1.2.3.11 retinal oxidase
EC 1.3.99.23 all-trans-retinol 13,14-reductase
EC 1.13.11.63 β-carotene 15,15'-dioxygenase
EC 1.14.19.53 all-trans-retinol 3,4-desaturase
EC 2.3.1.76 retinol O-fatty-acyltransferase
EC 3.1.1.1 carboxylesterase
EC 3.1.1.3 triacylglycerol lipase
EC 3.1.1.63 11-cis-retinyl-palmitate hydrolase
EC 3.1.1.64 all-trans-retinyl-palmitate hydrolase
EC 3.1.1.90 all-trans-retinyl ester 13-cis isomerohydrolase