Mechanism based on Caputi, L., Franke, J., Farrow, S. C., Chung K., Payne, R. M. E., Nguyen, T-D., Dang, T-T. T., Carqueijeiro, I. S. T., Koudounas, K., Bernonville, T. D. de, Ameyaw, B., Jones, D. M., Vieira, I. J. C., Courdavault, V., and O’Connor, S. E., Missing enzymes in the biosynthesis of the anticancer drug vinblastine in Madagascar periwinkle Science 360 (2018) 1235-1239. [PMID: 29724909]

© IUBMB 2024
enzymes homepage
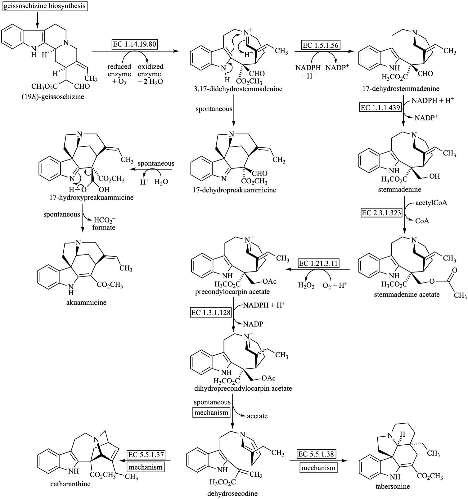
geissoschizine biosynthesis
mechanism of dehydrosecodine enzymes
EC 1.1.1.439 17-dehydrostemmadenine reductase
EC 1.3.1.128 precondylocarpine acetate reductase
EC 1.5.1.56 3,17-didehydrostemmadenine reductase
EC 1.14.19.80 geissoschizine oxidase
EC 1.21.3.11 precondylocarpine acetate synthase
EC 2.3.1.323 stemmadenine O-acetyltransferase
EC 5.5.1.37 catharanthine synthase
EC 5.5.1.38 tabersonine synthase