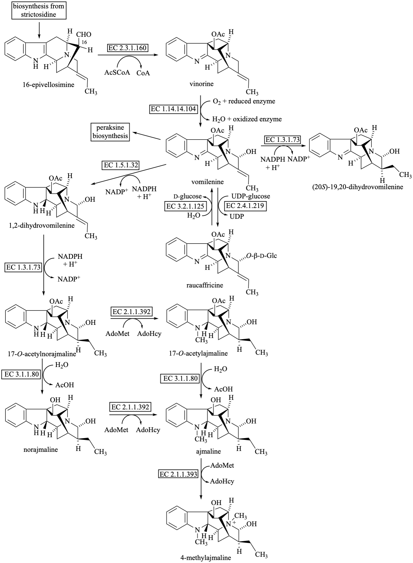
When cursor points to a box further details will be displayed in a tooltip window. If you click on the box you will change to appropriate reaction scheme or enzyme specification.

© IUBMB 2002
enzymes homepage
16-epivellosimine biosynthesis
peraksine biosynthesis
EC 1.3.1.73 1,2-dihydrovomilenine reductase
EC 1.5.1.32 vomilenine reductase
EC 1.14.14.104 vinorine hydroxylase
EC 2.1.1.392 norajmaline N-methyltransferase
EC 2.1.1.393 ajmaline N-methyltransferase
EC 2.3.1.160 vinorine synthase
EC 2.4.1.219 vomilenine glucosyltransferase
EC 3.1.1.80 acetylajmaline esterase
EC 3.2.1.125 raucaffricine β-glucosidase