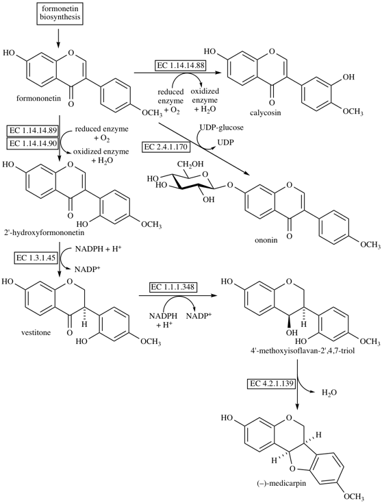
When cursor points to a box further details will be displayed in a tooltip window. If you click on the box you will change to appropriate reaction scheme or enzyme specification.

© IUBMB 2004
enzymes homepage.
formonetin biosynthesis
EC 1.1.1.348 vestitone reductase
EC 1.3.1.45 2'-hydroxyisoflavone reductase
EC 1.14.14.88 isoflavone 3'-hydroxylase
EC 1.14.14.89 4'-methoxyisoflavone 2'-hydroxylase
EC 1.14.14.90 isoflavone 2'-hydroxylase
EC 2.4.1.170 isoflavone 7-O-glucosyltransferase
EC 4.2.1.139 pterocarpan synthase