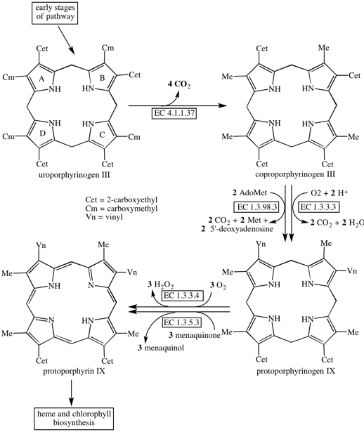
Porphyrin Biosynthesis (later stages)

When cursor points to a box further details will be displayed in a tooltip window. If you click on the box you will change to appropriate reaction scheme or enzyme specification.

© IUBMB 2003


For nomenclature of tetrapyrroles, click here.


Return to:
enzymes homepage.
porphyrin biosynthesis (early stages)
heme and chlorophyll biosynthesis
EC 1.3.3.3 coproporphyrinogen oxidase
EC 1.3.3.4 protoporphyrinogen oxidase
EC 1.3.5.3 protoporphyrinogen IX dehydrogenase (menaquinone)
EC 1.3.98.3 coproporphyrinogen dehydrogenase
EC 4.1.1.37 uroporphyrinogen decarboxylase