When cursor points to a box further details will be displayed in a tooltip window. If you click on the box it will change to the appropriate reaction scheme or enzyme specification.

© IUBMB 2011
enzyme nomenclature homepage
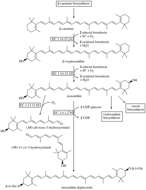
β-carotene biosynthesis
crocin biosynthesis
violaxanthin biosynthesis
EC 1.13.11.65 carotenoid isomerooxygenase
EC 1.14.15.24 β-carotene 3-hydroxylase
EC 2.4.1.276 zeaxanthin glucosyltransferase