When cursor points to a box further details will be displayed in a tooltip window. If you click on the box it will change to the appropriate reaction scheme or enzyme specification.
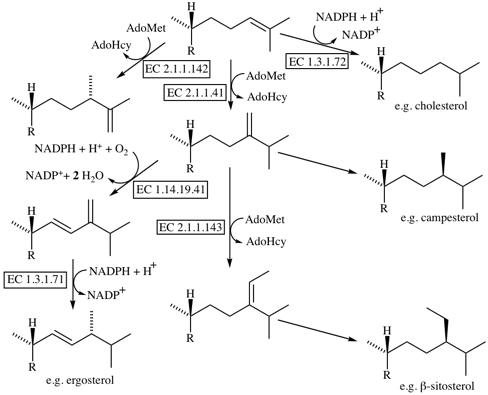
Part of cholesterol and related sterol biosynthesis

© IUBMB 2002
For details of steroid numbering see the Nomenclature of steroids 3S-1.1.
enzymes homepage.
cholesterol biosynthesis
EC 1.3.1.71 Δ24(241)-sterol reductase
EC 1.3.1.72 Δ24-sterol reductase
EC 1.14.19.41 sterol 22-desaturase
EC 2.1.1.41 sterol 24-C-methyltransferase
EC 2.1.1.142 24-cycloartenol C-methyltransferase
EC 2.1.1.143 24-methylenesterol C-methyltransferase