When cursor points to a box further details will be displayed in a tooltip window. If you click on the box it will change to the appropriate reaction scheme or enzyme specification.
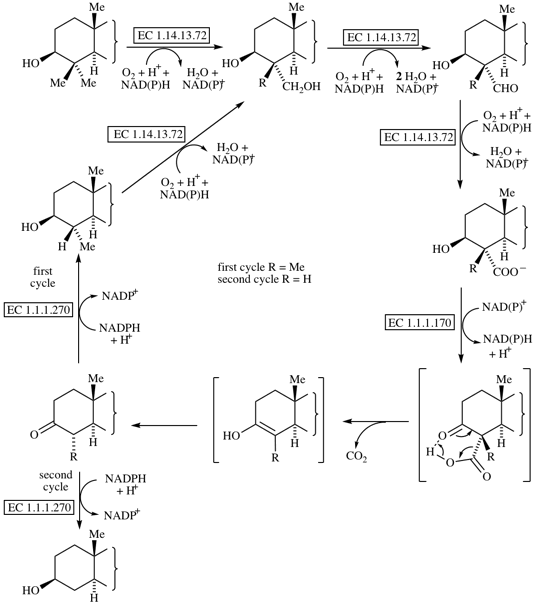
Part of cholesterol biosynthesis

© IUBMB 2001
enzymes homepage.
cholesterol biosynthesis
EC 1.1.1.170 3β-hydroxy-4α-carboxy-sterol 3-dehydrogenase (decarboxylating)
EC 1.1.1.270 3-ketosteroid reductase
EC 1.14.13.72 methylsterol monooxygenase