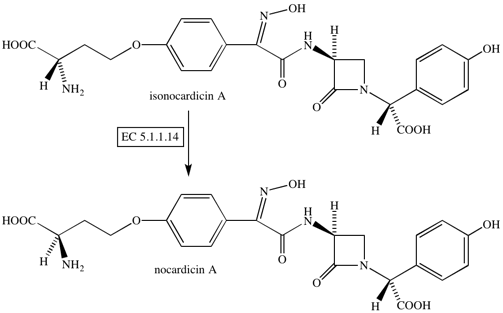
Nocardicin A Biosynthesis

When cursor points to a box further details will be displayed in a tooltip window. If you click on the box you will change to appropriate reaction scheme or enzyme specification.

© IUBMB 2016


Return to:
enzymes homepage.
EC 5.1.1.14 nocardicin A epimerase