When cursor points to a box further details will be displayed in a toltip window. If you click on the box you will change to appropriate reaction scheme or enzyme specification.

© IUBMB 2001
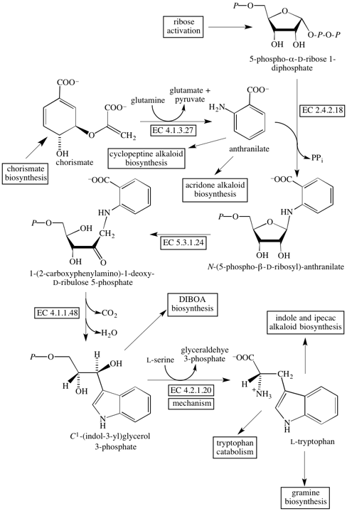
See also separate file for mechanism of EC 4.2.1.20 tryptophan synthase.
enzymes homepage.
acridone alkaloid biosynthesis
cyclopeptine alkaloid biosynthesis
DIBOA biosynthesis
gramine biosynthesis
histidine biosynthesis (early stages)
indole and ipecac alkaloid biosynthesis
ribose activation
shikimate and chorismate biosynthesis
tryptophan catabolism.
EC 2.4.2.7 adenine phosphoribosyltransferase
EC 2.4.2.18 anthranilate phosphoribosyltransferase
EC 4.1.1.48 indole-3-glycerol-phosphate synthase
EC 4.1.3.27 anthranilate synthase
EC 4.2.1.20 tryptophan synthase
EC 5.3.1.24 phosphoribosylanthranilate isomerase